The automotive industry is reliant on accurate finite element simulations for developing new parts or machines and to achieve this, accurate material models are essential. Material cards contain input about the material model, and are significant; however, time-consuming to calibrate with traditional methods. Therefore a newer method involving Machine Learning (ML) and Feed-Forward Neural Networks (FFNN) is studied in the thesis. The direct application of calibration with FFNN has never been applied to calibrate the Swift hardening law and Barlat yield 2000 criteria, which is done in this thesis. All steps for calibration are performed to achieve a high-fidelity database capable of training the FFNN.
The outline of the thesis involves four different phases; experiments, simulations, building the high-fidelity database, and building and optimizing the FFNN. The experiment phase involves tensile testing of three different types of specimens in three material directions with Digital Image Correlation (DIC) to capture local strain. The simulation phase is to replicate all the experiments in LS-DYNA and perform finite element simulation. The finite element models are simulated 100 times and, respectively, 1000 times with different material parameters within a specific range. This range has a lower and upper bound that covers the experimental results. The database phase involves extracting the data from a huge amount of simulations and then extracting the key characteristics from the force-displacement curve. The last phase is building the FFNN and optimizing the network to find the best parameters. It’s first optimized based on Root Mean Square Error (RMSE) and then points from the Swift hardening curve and Barlat yield 2000 criteria are compared with experimental points.
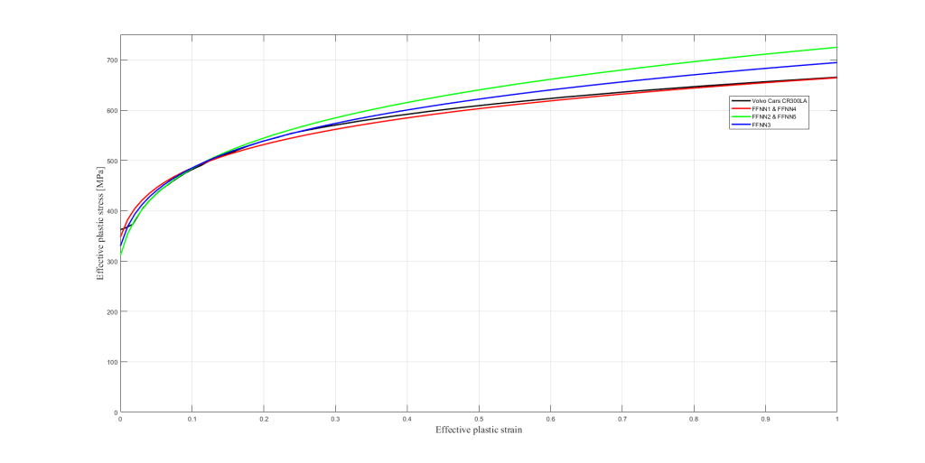
The result shows that the FFNN with the high-fidelity database can predict ma-
terial parameters with an accuracy of over 99 % for the hardening law at the points chosen for optimization and the anisotropy parameters are optimized to 97 % accuracy for the yielding points and Lankford coefficients. The thesis concludes that the FFNN can accurately predict the material parameters with real experimental data. The effectiveness of using this method is significantly faster than traditional methods because only one type of test is needed.
By Nicke Fridström & Anton Haller










Cooperation with
